• 社科赛斯考研
  • 微信
  • QQ
当前位置: 考研数学 > 概率论与数理统计 > 2018考研数学概率公式:二维随机变量的条件分布
2018考研数学概率公式:二维随机变量的条件分布
来源:网络 | 2018-09-05 14:26:22
人浏览

2026考研备考资料包限时领取中......

您只需要填写姓名和电话即可免费领取个人专属备考资料包一份!

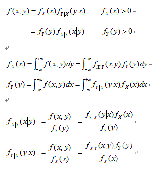
      2018考研数学冲刺复习进行中,下面整理分享2018考研数学概率公式:二维随机变量的条件分布,帮助大家更好的复习!
 
  

以上是为大家准备整理的“2018考研数学概率公式:二维随机变量的条件分布”的相关内容。为大家的考研梦想助力!
责任编辑:tjl
关键词阅读--
猜你喜欢的课程

X

扫码添加获取各院校复试名单及录取名单

考试日历
考生关注
考研指南
    国家线
备考指导
  • 考研英语
  • 考研政治
  • 考研数学
  • 联考综合
报考信息
  • 动态
  • 报考
  • 招简
  • 大纲
  • 分数
  • 复试
快速查询
扫描二维码关注 社科赛斯官方微信
扫描二维码关注 社科赛斯官方微博
微信公众号
微博二维码
咨询电话

13212228675

在线客服 点击咨询

投诉建议:13212228675

用考研政治刷题
轻松掌握政治考点

X