• 社科赛斯考研
  • 微信
  • QQ
当前位置: 考研数学 > 概率论与数理统计 > 2019考研概率统计公式:二维随机变量的条件分布
2019考研概率统计公式:二维随机变量的条件分布
来源:网络 | 2018-09-05 16:07:07
人浏览

2026考研备考资料包限时领取中......

您只需要填写姓名和电话即可免费领取个人专属备考资料包一份!

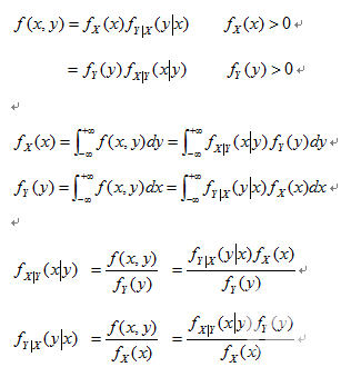
  考研数学概率部分相对简单,但是也不能忽视,有些重难点也常考题型要多研究。目前阶段我们先把概率的公式总结清楚,为以后的全面复习做好准备。今日分享2019考研概率统计公式:二维随机变量的条件分布,来看下文。


 
  以上是小编为大家分享的“2019考研概率统计公式:二维随机变量的条件分布 ”相关内容,同学们把握机遇,为2019考研不懈奋斗。
责任编辑:tjl
关键词阅读--
猜你喜欢的课程

X

扫码添加获取各院校复试名单及录取名单

考试日历
考生关注
考研指南
    国家线
备考指导
  • 考研英语
  • 考研政治
  • 考研数学
  • 联考综合
报考信息
  • 动态
  • 报考
  • 招简
  • 大纲
  • 分数
  • 复试
快速查询
扫描二维码关注 社科赛斯官方微信
扫描二维码关注 社科赛斯官方微博
微信公众号
微博二维码
咨询电话

13212228675

在线客服 点击咨询

投诉建议:13212228675

用考研政治刷题
轻松掌握政治考点

X