• 社科赛斯考研
  • 微信
  • QQ
当前位置: 考研数学 > 数学真题 > 2018年全国硕士研究生入学统一考试数学(二)真题
2018年全国硕士研究生入学统一考试数学(二)真题
来源:社科赛斯考研网 | 2018-05-25 13:54:21
人浏览

2026考研备考资料包限时领取中......

您只需要填写姓名和电话即可免费领取个人专属备考资料包一份!


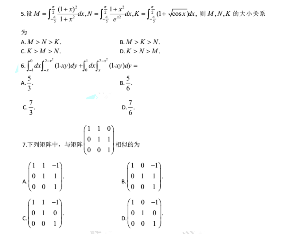
2018考研数学二真题
2018考研数学二真题
2018考研数学二真题
2018考研数学二真题
2018考研数学二真题
2018考研数学二真题
2018考研数学二真题
 
责任编辑:hyy
关键词阅读--
猜你喜欢的课程

X

扫码添加获取各院校复试名单及录取名单

考试日历
考生关注
考研指南
    国家线
备考指导
  • 考研英语
  • 考研政治
  • 考研数学
  • 联考综合
报考信息
  • 动态
  • 报考
  • 招简
  • 大纲
  • 分数
  • 复试
快速查询
扫描二维码关注 社科赛斯官方微信
扫描二维码关注 社科赛斯官方微博
微信公众号
微博二维码
咨询电话

13212228675

在线客服 点击咨询

投诉建议:13212228675

用考研政治刷题
轻松掌握政治考点

X